مكتبة دار المعلم التعليمية
مكتبة دار المعلم العامة
مكتبة آبل بوك
شارك بملف
مركز رفع الملفات
الرئيسية
أعلن معنا
تصل بنا
دار المعلم
>
التحميل
>
قائمة أهل الرياضيات
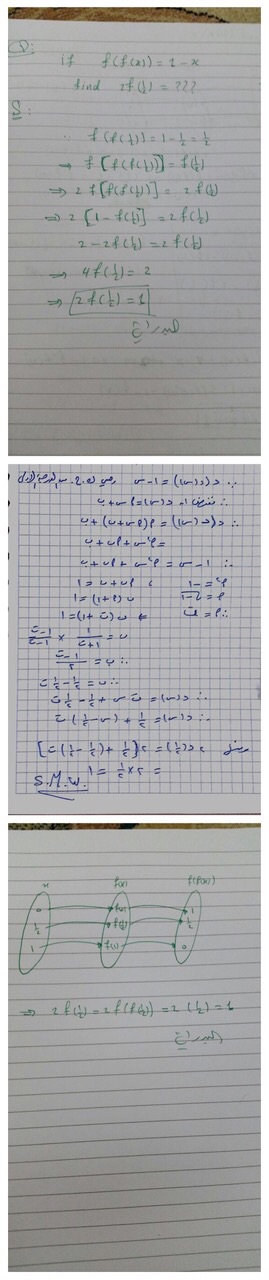
إذا كان د(د(س))=1-س فما قيمة 2د(نصف)؟
اسم العضو
حفظ البيانات؟
كلمة المرور
التعليمـــات
المجموعات
التقويم
مشاركات اليوم
البحث
روابط المنتدى
قائمة الأعضاء
البحث في المنتدى
عرض المواضيع
عرض المشاركات
بحث بالكلمة الدلالية
البحث المتقدم
الذهاب إلى الصفحة...
آخر الملفات
آخر الملفات
مطويتان اليوم العالمي للغة العربية
سجل تقويم مهارات التربية الاسرية للصف الثالث ب الفصل الثاني
أسئلة الأختبار النهائي لمادة الأنجليزي منهج Super Goal 3 ثاني متوسط ف1 عام 1437هـ
اختبار مادة العلوم الصف الثالث ابتدائي المهارات الجديدة 1437 الفترة الثانية
اختبار مادة العلوم الصف الثاني ابتدائي المهارات الجديدة 1437
أختبار عملي نهائي لمادة الكيمياء 3 ثالث ثانوي نظام مقررات ف1 عام 1437هـ
أسئلة أختبار نهائي لمادة الكيمياء ثالث ثانوي ف1 عام 1437هـ / 2016م
العوائق والصعوبات في مبادرة التأهيل المهني أ.فهد آل دعيش
مبادرة التأهيل المهني أ.لطيفة الشويعر
الصعوبات التي تواجه وكلاء التسجيل والحلول المقدمة (نظام نور) أ.خالد الشهري
الإرشاد الأكاديمي بين الواقع والمأمول أ.عدنان برادة
مهام ومسؤوليات مشرف نظام المقررات أ.مرشد الكويكبي
أسئلة أختبار نهائي لمادة اللغة الأنجليزية لمنهج 1 Full Blast أول متوسط 137هـ / 2016م
اسئلة أختبار نهائي رياضيات أول ثانوي فصلي المستوى الأول 1437هـ
مراجعة للأختبارات النهائية مادة العلوم ثالث متوسط ف1 لعام 1437 هـ / 2016 م
الملفات الأكثر شيوعاً
الملفات الأكثر شيوعاً
توزيع مادة الرياضيات ثالث متوسط ف1 لعام 1436هـ
132,631
تحضير تجويد بطريقة المسرد خامس ابتدائي الفصل الدراسي الاول
107,686
حل كتاب الطالب لمادة التفسير للصف الثاني متوسط الفصل الدراسي الأول لعام 1434 - 1435هـ
101,057
حل نشاط كتاب الطالب والتقويم و النشاط اجتماعيات 1م ف2 (1434هـ)
87,761
الخطة الدراسية للمسار العلمي في النظام الفصلي 1436 - 1437 / 1437 -1438
86,678
حلول كاملة لمادة القراءة والتواصل اللغوي ثاني ثانوي أدبي المستوى الثالث 1437هـ
76,441
حل تقويم الدرس والوحدة اجتماعيات 3متوسط فصل2 1435هـ
73,499
ملخص مادة صفات الداعية إعداد/ بنت الهيلا
53,136
تلخيص مهارات علوم للصف السادس ابتدائي المنهج المطور الفصل الثاني
52,227
حل كتاب النشاط احياء اول ثانوي الفصل الدراسي الثاني مطور 1434
49,179
بنك الأسئلة لمادة الرياضيات الصف الثاني ثانوي طبيعي
41,876
عرض بوربوينت الفصل الاول مكونات الحاسب الشخصي لمادة الحاسب ثاني ثانوي لعام 1435هـ
37,495
حل كتاب الطالب كاملا لمادة الحديث ثالث متوسط ف1 لعام 1437
28,622
حل كتاب النشاط لمادة الفقه للصف الرابع ابتدائي الفصل الثاني
28,098
مطوية المدينة دار الهجرة موقعها و طبيعتها / الصف الرابع / الفصل الثاني
28,049
القائمة
الرئيسي
|
شجرة التصنيف
|
الإحصائيات
|
أبحث
[
تحميل إذا كان د(د(س))=1-س فما قيمة 2د(نصف)؟
]
اسم الملف:
إذا كان د(د(س))=1-س فما قيمة 2د(نصف)؟ (86.9 كيلوبايت)
المؤلف:
غير معروف (رفعت بواسطة
مطوربوك
)
تاريخ الإضافة:
11-08-2014
التحميل:
237
تدرج:
غير مقيم
الوصف
الصور
لا شيئ
[
تحميل إذا كان د(د(س))=1-س فما قيمة 2د(نصف)؟
]
التعليقات
أذهب الى التصنيف
الرسائل العلمية والابحاث في مجال التربية والتعليم
مكتبة هناء الرقمية
دار المعلم للألمبياد والمسابقات
دار المعلم للمرحلة المتوسطة
-الكتب الالكترونية المنهج المطور
--الفصل الدراسي الأول
--الفصل الدراسي الثاني
-دار المعلم للتربية الأسرية
--الفصل الدراسي الاول
--الفصل الدراسي الثاني
-دار المعلم للتربية الاجتماعية والوطنية
--الفصل الدراسي الأول
--الفصل الدراسي الثاني
-دار المعلم للتربية الفنية والرياضية
--الفصل الدراسي الأول
--الفصل الدراسي الثاني
-دار المعلم للتربية الإسلامية
--الفصل الدراسي الأول
--الفصل الدراسي الثاني
-دار المعلم للرياضيات المطورة
--الفصل الدراسي الأول
--الفصل الدراسي الثاني
-دار المعلم للعلوم المطور
--الفصل الدراسي الأول
--الفصل الدراسي الثاني
-دار المعلم للغة الانجليزية
--الفصل الدراسي الأول
--الفصل الدراسي الثاني
-دار المعلم للحاسب وتقنية المعلومات
--الفصل الدراسي الأول
--الفصل الدراسي الثاني
-دار المعلم للغة العربية
--الفصل الدراسي الأول
--الفصل الدراسي الثاني
دار المعلم للمرحلة الابتدائية
-مطور بوك للغة العربية
--الفصل الدراسي الأول
--الفصل الدراسي الثاني
-التربية الفكرية
--الفصل الدراسي الاول
--الفصل الدراسي الثاني
-الكتب الالكترونية المنهج المطور
--الفصل الدراسي الاول
--الفصل الدراسي الثاني
-دار المعلم للتربية الاجتماعية والوطنية
--الفصل الدراسي الأول
--الفصل الدراسي الثاني
-دار المعلم للتربية الاسلامية
--الفصل الدراسي الأول
--الفصل الدراسي الثاني
-دار المعلم للتربية الفنية والرياضية
--الفصل الدراسي الأول
--الفصل الدراسي الثاني
-دار المعلم للحاسب وتقنية المعلومات
--الفصل الدراسي الأول
--الفصل الدراسي الثاني
-دار المعلم للرياضيات المطورة
--الفصل الدراسي الأول
--الفصل الدراسي الثاني
-دار المعلم للغة الانجليزية
--الفصل الدراسي الأول
--الفصل الدراسي الثاني
-دار المعلم للتربية الأسرية
--الفصل الدراسي الأول
--الفصل الدراسي الثاني
-دار المعلم للعلوم المطور
--الفصل الدراسي الأول
--الفصل الدراسي الثاني
دار المعلم للمرحلة الثانوية
-2- دار المعلم التعليم الثانوي ( نظام المقرارات )
--دار المعلم لوكلاء القبول والتسجيل + الارشاد الأك
--دار المعلم للكتب الالكترونية
-الكتب الالكترونية المنهج المطور
--الفصل الدراسي الأول
--الفصل الدراسي الثاني
-دار المعلم للأحيــاء المطورة
--الفصل الدراسي الأول
--الفصل الدراسي الثاني
-دار المعلم للتربية الاجتماعية والوطنية
--الفصل الدراسي الأول
--الفصل الدراسي الثاني
-دار المعلم للتربية الاسلامية
--الفصل الدراسي الأول
--الفصل الدراسي الثاني
-دار المعلم للتربية الفنية والرياضية
--الفصل الدراسي الأول
--الفصل الدراسي الثاني
-دار المعلم للحاسب وتقنية المعلومات
--الفصل الدراسي الأول
--الفصل الدراسي الثاني
-دار المعلم للرياضيات المطورة
--الفصل الدراسي الأول
--الفصل الدراسي الثاني
-دار المعلم للغة الانجليزية
--الفصل الدراسي الأول
--الفصل الدراسي الثاني
-دار المعلم للغة العربية
--الفصل الدراسي الأول
--الفصل الدراسي الثاني
-دار المعلم للفيزياء المطورة
--الفصل الدراسي الأول
--الفصل الدراسي الثاني
-دار المعلم للكيمياء المطورة
--الفصل الدراسي الأول
--الفصل الدراسي الثاني
-دار المعلم الثانوي بالنظام الفصلي
--1- المستوى الأول
--2- المستوى الثاني
--3- المستوى الثالث
--4- المستوىى الرابع
--الكتب الإلكترونية
-دار المعلم علم الأرض ( جيولوجيا ) المطورة
--الفصل الدراسي الأول
--الفصل الدراسي الثاني
دار المعلم للبحوث والرسائل والمطويات الطلابية
دار المعلم للبرمجيات التعليمية والتربوية
دار المعلم للتعلم النشط
دار المعلم للتوجيه والارشاد
-عروض ارشادية
دار المعلم للتوعية الاسلامية
دار المعلم للجامعات والكليات السعودية ( بنين و بن
-دار المعلم للانتساب المطور بجامعة الامام
--الادارة والاقتصاد
--- المستوى الخامس ( إقتصاد)
--- المستوى السابع ( إقتصاد)
--- المستوى السادس ( إقتصاد)
---1- المستوى الأول ( ادارة و اقتصاد)
---2- المستوى الثاني ( ادارة و اقتصاد)
---3- المستوى الثالث ( ادارة و اقتصاد)
---4- المستوى الرابع ( ادارة و اقتصاد)
---5- المستوى الخامس ( ادارة اعمال )
---6- المستوى السادس ( ادارة اعمال )
---7- المستوى السابع ( ادارة اعمال )
---8- المستوى الثامن ( ادارة اعمال )
---المستوى الثامن ( إقتصاد)
--الدعوة والإعلام
---1- المستوى الاول
---2- المستوى الثاني
---3- المستوى الثالث
---4- المستوى الرابع
---5-المستوى الخامس
---6-المستوى السادس
---7-المستوى السابع
---8-المستوى الثامن
--الدورة التأهيلية
-دار المعلم للانتساب بجامعة الملك فيصل
--قسم إدارة أعمال
---طلاب المستوى الاول
-دار المعلم لجامعة المجمعة " بنات " بالزلفي
--قسم التربية
---الصحة واللياقة
دار المعلم لأدوات المشرف التربوي
دار المعلم للروضة ورياض الاطفال
دار المعلم للصحة المدرسية
دار المعلم للإدارة المدرسية
-دار المعلم للاختبارات
دار المعلم لمناهج الدول العربية
-مناهج وزارة التربية والتعليم المصرية
--الابتدائي
---الترم الأول
---الترم الثاني
--الاعدادي
---الترم الأول
---الترم الثاني
--الثانوي
---الترم الأول
---الترم الثاني
دار المعلم للنشاط الطلابي
دار المعلم لاستراتيجيات التدريس الحديثة
دار المعلم لبرنامج حسّن
دار المعلم لرعاية الموهوبين والموهوبات
دار المعلم لصعوبات التعلم والتربية الفكرية
دار المعلم التعليمي العام
دار المعلم للتطبيقات التعليمية
-مطوربوك للأندرويد ( الجالكسي )
-دار المعلم للآيباد و الآيفون
دار المعلم للدروس الخصوصية من اليوتيوب
دار المعلم لتعليم الكبار والكبيرات
دار المعلم لتقنيات التعليم - مصادر التعلم
دار المعلم التربية الفنية
-معارض وفنون مدرسية
-كتب ورسائل وأبحاث
قائمة أهل الرياضيات
-قناة : توظيف الجيوجبرا
- بوابة دار المعلم -
الساعة الآن
09:03 AM
بتوقيت الرياض
-- Arabic
-- English (US)
الاتصال بنا
-
دار المعلم
-
الأرشيف
-
الأعلى
Powered by vBulletin® Copyright ©2000 - 2025, Jelsoft Enterprises
Se
curity
te
am